[农林牧渔] 金庸小说植物考:曼陀罗/山茶、七星海棠、天山雪莲 日期:2015-02-12 19:10:39 点击:220 好评:0
-在金庸的小说里可不只有《神雕侠侣》里的情花和断肠草,听听这些很厉害的名字,“曼陀罗”、“七星海棠”、“天山雪莲”,想知道它们都是些什么植物吗?...
[农林牧渔] 植物耐旱性可再“编程” 日期:2015-02-12 11:49:47 点击:228 好评:0
美国加州大学河滨分校进行的合成生物学研究提供了一个方略,即将植物重新“编程”使其消耗更少的水,为农作物改良打开了新的大门。 干旱是影响植物发育生长最为重要的环境胁迫因素。当植物遭遇干旱,它们会自然地生成脱落酸(ABA),这是一种抑制植物生长和减少用水消...
[农林牧渔] 昆明植物所在种子生物学研究中取得进展 日期:2015-02-11 20:34:11 点击:213 好评:0
种子萌发是植物生长和发育的第一步,而吸胀又是种子萌发过程的第一步。在吸胀过程中,干种子吸水,其胚细胞转变成有活性状态的细胞,并发生了一系列的生理生化反应。在这些生理生化过程中,细胞的膜结构和功能的重建是非常重要的一种变化。许多种子在低温下快速吸水时...
[农林牧渔] 江志阳:秸秆不止用在还田 日期:2015-02-05 19:59:28 点击:217 好评:0
我国是农业生产大国,种植业历史悠久。随着农业生产规模的不断扩大,产生了大量的、集中的秸秆,每年农作物秸秆产量为6.5×108吨。 据统计,全国秸秆还田和做饲料过腹还田的比例约占总产量的32%,用作工业原料的秸秆量约为总量的20%,而浪费或焚烧的秸秆资源量为45%以...
[农林牧渔] 水稻功能基因组研究:我国要继续保持领先优势 日期:2015-02-05 19:57:37 点击:228 好评:0
以“水稻功能基因组研究的现状和未来”为主题的第520次香山科学会议学术讨论会近日在北京召开。与会专家就水稻基因组测序及注释、水稻重要性状的调控网络、水稻多组学(表观组、蛋白组、代谢组、表型组等)研究,以及水稻基因组解析等方面展开了深入的讨论。 此次会议...
[农林牧渔] 助力农业可持续发展:微生物肥料和微生物农药 日期:2015-02-04 21:22:50 点击:186 好评:0
近年来,微生物肥料因其绿色环保、改善土壤养分环境、提高化肥利用率等众多功能受到广泛关注。1月22日,金正大集团、农业微生物学国家重点实验室等单位共同举办的微生物肥料和微生物农药新制剂发展研讨会在山东临沭召开,深入研讨了微生物菌剂对于作物生长、土壤改良、...
[农林牧渔] 美国秸秆乙醇成新宠 日期:2015-02-04 21:22:13 点击:236 好评:0
美国有24个农业州,每年都有大量的秸秆需要处理。根据美国农业部的一项统计资料,全国每年能够收集起来的小麦秸秆就多达4500万吨,仅占当年所有小麦秸秆的50%。秸秆在美国的用途很广,可用作饲料、手工制品等,有的地方还用来盖房,将整捆的秸秆高强度挤压后填充新房的...
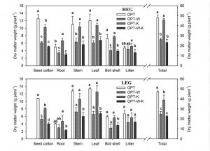
[农林牧渔] 武汉植物园揭示水分和钾素胁迫对棉花钾效率的影响 日期:2015-02-03 14:33:55 点击:124 好评:0
不同土壤水分和施钾量下两种棉花基因型各器官干物重的差异比较 农田生态系统中,土壤水分和肥料是影响作物生长的两个重要环境因子。大量研究已证实,不同基因型棉花品种间存在着钾效率差异,而对不同土壤水分及施钾量处理下,不同钾效率作物的生理学响应差异研究较少。...
[农林牧渔] 哈尔滨给秸秆“寻找出路” 推动生物质能源发展 日期:2015-01-30 11:12:03 点击:138 好评:0
目前哈尔滨市的秸秆综合开发利用率较低。每年秋收后秸秆焚烧屡禁不止,已成为环境治理和城市管理的一大难题。“不让烧,不能烧,不该烧”,但“不烧怎么办”?如何加工处理?要给秸秆“寻找出路”。在1月20日召开的哈尔滨市政协十二届四次会议上,市政协常委、市侨联主...
[农林牧渔] 袁隆平:“吃转基因稻不育”这话我从没说过 日期:2015-01-26 11:32:42 点击:167 好评:0
“转基因不能一概而论。美国的转基因抗除草剂大豆进口到中国,我们的豆油、豆腐都来源于这些,都是没问题的。” 昨天,国家杂交水稻工程技术研究中心与国家植物航天育种工程技术研究中心战略合作协议签约仪式在华南农业大学举行。国家杂交水稻工程技术研究中心主任袁隆...
美国农业部近日宣布,其“农业和食品研究计划”资助的4D作物...
昨天,武汉市农业科学技术研究院作物科学研究所“院士专家工...
近日,中国农业科学院生物技术研究所作物基因组及遗传改良研...
水稻是全球半数以上人口的主粮,近年来水稻遭遇高温热害的情...
在线发表于《自然—遗传学》上的一项研究公布了一种与玉米和...
玉米是我国种植面积最大、总产量最高的粮食作物,2013年的种植...